Lake restoration projects often adopt a nature-based solutions philosophy, emphasizing the use of natural ecosystem processes to achieve sustainable water quality improvements. These projects aim to restore ecological balance and enhance biodiversity by leveraging natural elements such as wetlands, vegetation, and water circulation systems. The success of such restorations is often under-reported, with few published long-term investigations of water quality and ecosystem health post-restoration. This study presents the restoration of a small, shallow, sub-tropical urban lake located on The University of Queensland’s St Lucia campus, Brisbane, Australia. Results of regular water quality monitoring and habitat assessment post-restoration are discussed.
The lake, constructed 70 years ago, experienced a rapid loss of aquatic vegetation in 2019, leading to increased turbidity and nuisance algal blooms. A comprehensive review informed a decision to invest in a significant restoration project, with a key design criterion being a reduction in water residence time from >90 days to 15–30 days, with the aid of a recirculation system. Restoration, completed over 17-months from June 2022 to November 2023, involved draining the lake, relocating fauna, and extensive earthworks and vegetation planting to modify the lakebed and establish a new wetland zone. These changes aimed to improve water quality, amenity, and sustainably control algal blooms.
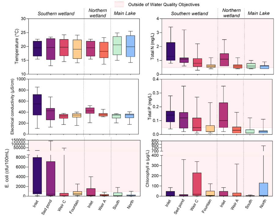
Post-restoration monitoring indicated that most water quality parameters met target objectives, despite the system still being in the establishment phase. The wetlands are functioning as expected, improving the quality of inflowing stormwater, with lower concentrations of total nitrogen, total phosphorus, E. coli, and total dissolved solids at the wetland outlets compared to inlets. A filamentous algal bloom occurred soon after the lake refilled naturally via stormwater runoff, accompanied by elevated pH levels (9.22 ±0.59), fluctuating diurnally with algal bloom photosynthesis and respiration intensity. Long-term trends indicate stabilization of water quality parameters compared to the higher concentrations and variability observed from September–November 2023. High macroinvertebrate taxonomic richness was recorded in the wetlands in September 2024 and native fauna are returning to the lake including turtles, water dragons, eels, water birds and visiting pelicans. The lake and wetlands are in an early establishment phase, with vegetation and natural ecological processes in their infancy. Nature-based solutions typically require a minimum of two years for vegetation to mature and the ecosystem to stabilize, assuming adequate maintenance to manage weeds and support the establishment of target vegetation communities. Ongoing monitoring and aquatic fauna reintroduction strategies are also discussed.